VII Międzynarodowy Konkurs im. Tadeusza Wrońskiego na skrzypce solo
Fundacja SKRZYPCE im. Tadeusza Wrońskiego oraz Uniwersytet Muzyczny Fryderyka Chopina zapraszają na VII Międzynarodowy Konkurs im. Tadeusza Wrońskiego na Skrzypce Solo. Konkurs odbędzie się w dniach 22 – 28 września 2025 w Warszawie.
Ideę tego typu konkursów wprowadził w 1990 roku prof. Tadeusz Wroński – wybitny polski wirtuoz i pedagog skrzypiec, Rektor i Doktor Honoris Causa Akademii Muzycznej im. F. Chopina w Warszawie, wieloletni profesor Indiana Jacobs University School of Music w Bloomington, USA. Międzynarodowe Konkursy im. Tadeusza Wrońskiego na Skrzypce Solo to wydarzenie cykliczne, odbywające się co pięć lat i jak dotąd to jedyne, w tej formule, skrzypcowe konkursy solowe na świecie. Jeden z najwybitniejszych wirtuozów skrzypiec Ruggiero Ricci w takich słowach wyraził się o naszym przedsięwzięciu: "Konkurs Wrońskiego jest jedynym prawdziwym konkursem skrzypcowym, ponieważ jest to konkurs na skrzypce SOLO”.
Przesłuchania konkursowe odbędą się w sali koncertowej Uniwersytetu Muzycznego Fryderyka Chopina w Warszawie, rodzimej uczelni Profesora Wrońskiego. Wydarzenie organizowane jest przez Fundację SKRZYPCE oraz Uniwersytet Muzyczny Fryderyka Chopina, jest objęte Honorowym Patronatem Prezydenta RP od 25. lat. Konkurs składa się z trzech etapów, posiada formułę otwartą dla skrzypków wszystkich nacji urodzonych po 1 kwietnia 1990 r. Organizator zaznacza, że choć dolna granica wieku kandydatów nie jest podana to zasadniczo największy udział procentowy, wśród uczestników wszystkich sześciu edycji, to studenci i absolwenci uniwersytetów, konserwatoriów, college’ów, akademii muzycznych z kraju i ze świata. Jednocześnie dopuszcza się możliwość uczestnictwa w konkursie utalentowanej młodzieży licealnej. Tak zdarzyło się w drugiej edycji Konkursu w 2000 roku, gdy wygrała licealistka, 15 letnia Alena Bayeva z Rosji, która dwa lata później zwyciężyła w Konkursie Wieniawskiego w Poznaniu. Bayeva, dziś rozpoznawalna na świecie skrzypaczka, udzieliła wywiadu stwierdzając, że właśnie Konkurs im. Tadeusza Wrońskiego w Warszawie pomógł jej w uwierzeniu we własne umiejętności i zapoczątkował jej międzynarodową karierę.
Pula nagród regulaminowych to ok. 65 tys. Euro, a jej ostatecznego podziału dokona międzynarodowe Jury złożone z wybitnych wirtuozów i pedagogów skrzypcowych.
W dn. 22-25 czerwca odbyła się preselekcja nagrań, w wyniku której do udziału w konkursie dopuszczono 38 kandydatów z 8 krajów. Wstęp na przesłuchania i koncerty jest bezpłatny, a wydarzenie będzie transmitowane online. Uroczysta inauguracja zaplanowana została na 22.09.2025 r. Po części oficjalnej odbędzie się koncert, w ramach którego wystąpi sekretarz jury, wybitny polski skrzypek - Jakub Jakowicz oraz wyjątkowy pianista - Łukasz Chrzęszczyk.
Linki do filmów z przesłuchań i koncertów
https://theviolinchannel.com/winners-announced
https://theviolinchannel.com/vc-live
-
WYNIKI KONKURSU - LISTA LAUREATÓW
Jury pod przewodnictwem Konstantego Andrzeja Kulki postanowiło przyznać nagrody regulaminowe wyróżnienia oraz nagrody specjalne następującym finalistom Konkursu:
Nagrody główne/ Prizes
I nagroda/1st prize – 100 000 PLN dla/for Tianyou Liu – China
II nagroda/2nd prize – 70 000 PLN dla/for Gaja Wilewska – Poland
III nagroda/3rd prize – 50 000 PLN dla/for Marcelina Rucińska – Poland
IV nagroda/4th prize – 20 000 PLN dla/for Maya Alexandra Kasprzak – Germany
V nagroda/5th prize – 10 000 PLN ex aequo dla/for Hanna Pozorska (Poland) and Kazushi Omoto (Japan)I wyróżnienie/ 1st special mention – 2 000 PLN dla/ for Kimura Wakana – Japan
II wyróżnienie/ 2nd special mention – 2 000 PLN dla/ for Sofia Wadzicka – Poland
II wyróżnienie/ 2nd special mention – 2 000 PLN dla/ for Emilia Linka – Poland
III wyróżnienie/3rd special mention – 2 000 PLN dla/ for Wiktoria Białostocka – Poland
III wyróżnienie/ 3rd special mention – 2 000 PLN dla/ for Mana Ishizuka – Japan
III wyróżnienie/ 3rd special mention – 2 000 PLN dla/ for Doris Mose – Poland
IV wyróżnienie/ 4th special mention – 2 000 PLN dla/ for Paulina Tomczuk – PolandNagrody pozaregulaminowe/Special prezes
1. Nagroda finansowa w wysokości 3000 EURO – stypendium dla najlepszego laureata z UMFC ufundowania przez Maestrę Anne-Sophie Mutter / A financial Scholarship prize of EUR 3,000 for the best /laureate from the UMFC, funded by Maestra Anne-Sophie Mutter. Dla/ For Hanna Pozorska
2. Nagroda Uniwersytetu Muzycznego Fryderyka Chopina w wysokości 5000 PLN – dla najlepszego laureata z UMFC ufundowana przez JM Rektora prof. dr hab. Tomasza Strahla / The Chopin University of Music Prize in the amount of 5,000 PLN for the best winner from the Chopin University of Music, funded by His Magnificence Rector, Prof. Dr. Hab. Tomasz Strahl. Dla/ For Hanna Pozorska
3. Nagroda im. Stanisława Kawalli – 4000 PLN za najlepsze wykonanie Fantazji G.Ph. Telemanna ufundowana przez prof. Bronisławę Kawallęoraz panią Konstancje Kawallę / The Stanisław Prize – 4,000 PLN for the best performance of a Fantasy by G.Ph. Telemann, funded by prof. Bronisława Kawalla and Mrs. Konstancja Kawalla. Dla/ For Hanna Pozorska
4. Nagroda dla najlepszego skrzypka z Polski – 3000 PLN ufundowana przez Firmę MK Classics / Specjal prize award – 3,000 PLN for the best competitor from Poland funded by MK Classics company. Dla/ For Gaja Wilewska
5. Nagroda im. Stanisława Santora – 2000 PLN dla najciekawszej osobowości konkursu ufundowana przez Panią Irenę Santor / The Stanisław Santor Prize – 2,000 PLN for the most interesting artistic personality of the Competition funded by Mrs. Irena Santor. Dla/ For Tianyou Liu
6. Nagroda dla najmłodszego uczestnika z Polski – 1000 PLN ufundowana przez Firmę IURA / Specjal prize – 1,000 PLN for the youngest competitor from Poland funded by IURA company. Dla/ For Emilia Linka
7. Narodowa Orkiestra Symfoniczna Polskiego Radia w Katowicach – nagroda w postaci recitalu w sali kameralnej NOSPR dla zwycięzcy Konkursu w sezonie 2026-2027 / Recital opportunity for the winner of the Competition at the chamber hall of NOSPR in Katowice, season 2026-2027. Dla/ For Tianyou Liu
8. Sinfonia Varsovia – nagroda w postaci recitalu na festiwalu organizowanym przez Sinfnię Varsovię dla zwycięzcy Konkursu Konkursu w sezonie 2027-2028 / Recital opportunity for the winner of the Competition during one of the festivals organized by Sinfonia Varsovia, season 2027-2028. Dla/ For Tianyou Liu
9. Filharmonia Krakowska im. Karola Szymanowskiego – nagroda w postaci koncertu z Orkiestrą Filharmonii Krakowskiej dla laureata Konkursu w sezonie 2026-2027 / Concert opportunity for the laureate of the Competition, season 2026-2027. Dla/ For Gaja Wilewska
10. Polska Orkiestra Sinfonia Iuventus im. Jerzego Semkowa – nagroda w postaci koncertu z Polska Orkiestrą Iuventus dla najlepszego polskiego laureata Konkursu w sezonie 2026-2027 / Concert opportunity for the Polish laureate of the Competition, season 2026-2027. Dla/ For Gaja Wilewska
11. Opera i Filharmonia Podlaska Europejskie Centrum Sztuki w Białymstoku – nagroda w postaci koncertu z Orkiestrą dla polskiego laureata Konkursu w sezonie 2026-2027 / Concert opportunity for the Polish laureate of the Competition, season 2026-2027. Dla/ For Marcelina Rucińska
12. Polska Filharmonia "Sinfonia Baltica" im. Wojciecha Kilara – nagroda w postaci koncertu z Orkiestrą dla polskiego laureata Konkursu w sezonie 2026-2027 / Concert opportunity for the Polish laureate of the Competition, season 2026-2027. Dla/ For Hanna Pozorska
13. Filharmonia Kameralna im. Witolda Lutosławskiego w Łomży – nagroda w postaci koncertu z Orkiestrą dla polskiego laureata Konkursu w sezonie 2026-2027 / Concert opportunity for the Polish laureate of the Competition, season 2026-2027. Dla/ For Sofia Wadzicka
14. Filharmonia Świętokrzyska im. Oskara Kolberga w Kielcach – nagroda w postaci koncertu z Orkiestrą dla polskiego laureata Konkursu w sezonie 2026-2027 / Concert opportunity for the Polish laureate of the Competition, season 2026-2027. Dla/ For Emilia Linka
15. Filharmonia Dolnośląska im. Ludomira Różyckiego w Jeleniej Górze – nagroda w postaci koncertu z Orkiestrą dla laureata Konkursu w sezonie 2026-2027 / Concert opportunity for the Polish laureate of the Competition, season 2026-2027. Dla/ For Maya Alexandra Kasprzak
16. Filharmonia Częstochowska im. Bronisława Hubermana – nagroda w postaci recitalu na Festiwalu im. B. Hubermana dla laureate Konkursu w 2026 r. / Recital opportunity on The Bronisław Huberman Festival for the laureate of the Competition, year 2026. Dla/ For Doris Mose
17. Orkiestra Symfoniczna im. Karola Namysłowskiego w Zamościu – nagroda w postaci koncertu z Orkiestrą Filharmonii Zamojskiej dla polskiego laureata Konkursu w sezonie 2025-2026 / Concert opportunity for the Polish laureate of the Competition, season 2025-2026. Dla/ For Wiktoria Białostocka
18. NFM Orkiestra LEOPOLDINUM – nagroda w postaci koncertu z Orkiestrą Leopoldinum dla laureata Konkursu z UMFC w sezonie 2025-2026 / Concert opportunity for the Polish laureate of the Competition from UMFC, season 2025-2026. Dla/ For Marcelina Rucińska
19. Nagroda w postaci koncertu z cyklu –„Koncert na UMFC” w postaci recitalu dla najlepszego uczestnika z warszawskiej Uczelni w sezonie 2026-2027 ufundowane przez Prorektora UMFC prof. Rafała Janiaka / A “Concert in UMFC” recital opportunity season 2026-2027 for the best competitor from the Chopin University of Music, founded by the Vice-Rector of this University, Prof. Rafał Janiak. Dla/ For Hanna Pozorska, Marcelina Rucińska
20. Klasy mistrzowskie dla laureatow, ktore odbędą się w dniu 28.09.2025 ufundowane i prowadzone przez jurorow konkursu / Master-classes which will be held in UMFC, 28.09.2025 for laureates, founded & leaded by jurors of the Competition.
21. Smyczek fernambukowy dla najmłodszego polskiego uczestnika konkursu ufundowany przez anonimowego darczyńcę / Pernambuco violin bow for the best participant from Poland funded by an anonymous donor. Dla/ For Emilia Linka
22. 8 kompletów strun Tomastik-Infeld ufundowana przez Firmę Thomasik- Infeld Wiedeń oraz Fundację Skrzypce / Five sets of strings funded by Thomastik-Infeld Vienna company & Tadeusz Wroński Foundation for Violin. Dla/ For wyróżnionych/ Special prizes
23. Pamiątkowe statuetki dla laureatow trzech pierwszych nagrod Konkursu autorstwa Pani Agnieszki Tomasik ufundowane przez Fundację SKRZYPCE im. Tadeusza Wrońskiego / Commemorative statuettes for the winners of the first three prizes of the Competition, designed by Mrs. Agnieszka Tomasik, founded by the Tadeusz Wroński Foundation
for the Violin. Dla/ For Tianyou Liu, Gaja Wilewska, Marcelina Rucińska
24. Nagrody książkowe, nutowe i płytowe dla laureatow i wyróżnionych Konkursu ufundowane przez Fundację SKRZYPCE im. Tadeusza Wrońskiego/ Books, music and CDs for the laureates funded by Tadeusz Wroński Foundation for the Violin.
-
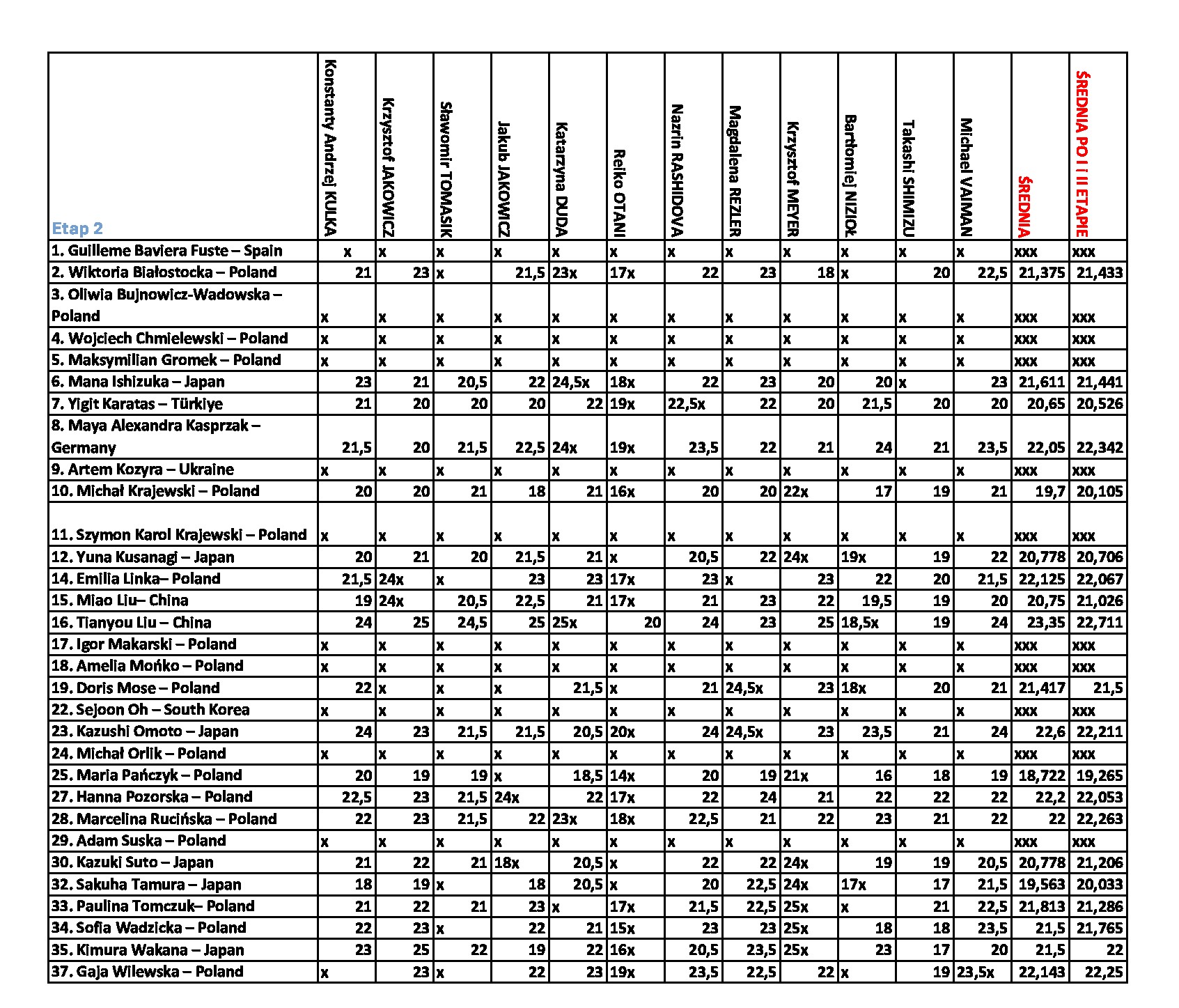
PUNKTACJE JURORÓW
-
RECENZJE
Recenzja - 23.09.2025 r. - Judyta Kluza-Sporniak [.pdf]
Recenzja - 23.09.2025 r. - Kornelia Radziszewska [.pdf]
Recenzja - 24.09.2025 r.- Judyta Kluza-Sporniak [.pdf]
Recenzja - 24.09.2025 r. - Kornelia Radziszewska [.pdf]
Recenzja - 25.09.2025 r. - Judyta Kluza-Sporniak [.pdf]
Recenzja - 25.09.2025 r. - Kornelia Radziszewska [.pdf]
Recenzja - 26.09.2025 r. - Judyta Kluza-Sporniak [.pdf]
Recenzja - 26.09.2025 r. - Kornelia Radziszewska [.pdf]
Recenzja - finał 27.09.2025 r. - Judyta Kluza-Sporniak [.pdf] -
JURY KONKURSU
Jury składać się będzie z wybitnych muzyków oraz pedagogów gry skrzypcowej:
Konstanty Andrzej Kulka - przewodniczący konkursu
Krzysztof Jakowicz - honorowy przewodniczący
Sławomir Tomasik - wiceprzewodniczący Jury
Jakub Jakowicz - sekretarz Jury
Krzysztof Meyer - wybitny kompozytor polski
Nazrin Rashidova (Anglia)
Reiko Otani (Japonia)
Magdalena Rezler (Niemcy-Polska)
Katarzyna Duda
Takashi Shimizu (Japonia)
Dora Schwarzberg - (Austria)
Bartłomiej Nizioł (Polska-Szwajcaria)
Michael Vaiman (Ukraina-Izrael)
-
LISTA UCZESTNIKÓW
Lista kandydatów po preselekcji:
1. Białostocka Wiktoria – Poland
2. Bujnowicz-Wadowska Oliwia – Poland
3. Chmielewski Wojciech – Poland
4. Gromek Maksymilian – Poland
5. Fuste Guilleme Baviera – Spain
6. Ishizuka Mana – Japan
7. Kartas Yigit – Türkiye
8. Kasprzak Maya Alxandra – Germany
9. Kimura Wakana – Japan
10. Kozyra Artem – Ukraine
11. Krajewski Michał – Poland
12. Krajewski Szymon – Poland
13. Kusanagi Yuna – Japan
14. Linka Emilia – Poland
15. Liu Miao – China
16. Liu Tianyou – China
17. Makarski Igor – Poland
18. Mońko Amelia – Poland
19. Mose Doris – Poland
20. Nakahara Riisa – Japan
21. Niedziółka Wojciech – Poland
22. Oh Sejoon – South Korea
23. Omoto Kazushi – Japan
24. Orlik Michał – Poland
25. Pańczyk Maria – Poland
26. Pietkiewicz Jan – Poland
27. Pozorska Hanna – Poland
28. Rucińska Marcelina – Poland
29. Suska Adam – Poland
30. Suto Kazuki – Japan
31. Syguda Zoja – Poland
32. Tamura Sakuha – Japan
33. Tomczuk Paulina – Poland
34. Wadzicka Sofia – Poland
35. Wawrzynkowska Inga – Poland
36. Wilewska Gaja – Poland
37. Youngmin Lee – South Korea
38. Zielińska Emilia – Poland -
NAGRODY
NAGRODY GŁÓWNE
I nagroda – 100 000 PLN
II nagroda – 70 000 PLN
III nagroda – 50 000 PLN
IV nagroda – 20 000 PLN
V nagroda – 10 000 PLNNAGRODY POZAREGULAMINOWE
1. Nagroda finansowa w wysokości 3.000 EURO – dla najlepszego uczestnika/laureata z UMFC ufundowania przez Maestrę Anne-Sophie Mutter.2. Nagroda Uniwersytetu Muzycznego Fryderyka Chopina w wysokości 5.000 zł. – dla najlepszego uczestnika/laureata z UMFC ufundowana przez JM Rektora prof. dr hab. Tomasza Strahla.
3. Nagroda im. Stanisława Kawalli – 4.000 zł. za najlepsze wykonanie Fantazji G.Ph. Telemanna ufundowana przez Panią prof. Bronisławę Kawallę oraz Panią Konstancje Kawallę.
4. Nagroda finansowa w wysokości 3 000. zł. – dla najlepszego skrzypka z Polski ufundowana przez Firmę MK Classics.
5. Nagroda dla najmłodszego uczestnika z Polski w wysokości 1000 zł ufundowana przez Firmę IURA.
6. Narodowa Orkiestra Symfoniczna Polskiego Radia w Katowicach – Nagroda w postaci recitalu w sali kameralnej NOSPR dla zwycięzcy Konkursu w sezonie artystycznym 2026/2027.
7. Sinfonia Varsovia – Nagroda w postaci recitalu na festiwalu organizowanym przez Sinfonię Varsovię dla zwycięzcy Konkursu w sezonie artystycznym 2027/2028,
8. Filharmonia Krakowska im. Karola Szymanowskiego – Nagroda w postaci koncertu z Orkiestrą Filharmonii Krakowskiej dla laureata Konkursu w sezonie artystycznym 2026/2027.
9. Polska Orkiestra Sinfonia Iuventus im. Jerzego Semkowa – Nagroda w postaci koncertu z Orkiestrą Iuventus dla najlepszego polskiego laureata Konkursu w sezonie artystycznym 2026/2027.
10. Opera i Filharmonia Podlaska Europejskie Centrum Sztuki w Białymstoku – Nagroda w postaci koncertu z Orkiestrą dla polskiego laureata Konkursu w sezonie artystycznym 2026/2027.
11. Polska Filharmonia "Sinfonia Baltica" im. Wojciecha Kilara – Nagroda w postaci koncertu z Orkiestrą dla polskiego laureata Konkursu w sezonie artystycznym 2026/2027.
12. Filharmonia Kameralna im. Witolda Lutosławskiego w Łomży – Nagroda w postaci koncertu z Orkiestrą dla polskiego laureata Konkursu w sezonie artystycznym 2026/2027.
13. Filharmonia Świętokrzyska im. Oskara Kolberga W Kielcach – Nagroda w postaci koncertu z Orkiestrą dla polskiego laureata Konkursu w sezonie artystycznym 2026/2027.
14. Filharmonia Dolnośląska im. Ludomira Różyckiego w Jeleniej Górze – Nagroda w postaci koncertu z Orkiestrą dla laureata Konkursu w sezonie artystycznym 2026/2027.
15. Filharmonia Częstochowska im. Bronisława Hubermana – Nagroda w postaci recitalu na Festiwalu im. B. Hubermana dla laureate Konkursu w 2026 r.
16. Orkiestra Symfoniczna im. Karola Namysłowskiego w Zamościu – Nagroda w postaci koncertu z Orkiestrą Filharmonii Zamojskiej dla polskiego laureata Konkursu w sezonie artystycznym 2025/2026.
17. NFM Orkiestra Leopoldinum – Nagroda w postaci koncertu z Orkiestrą Leopoldinum dla laureata Konkursu z UMFC w styczniu 2026.
18. Nagroda w postaci koncertu z cyklu – Nasi Laureaci „Koncert na UMFC” w postaci recitalu dla najlepszego uczestnika z warszawskiej Uczelni w sezonie artystycznym 2026/2027.
19. Klasy mistrzowskie dla laureatów i wyróżnionych skrzypków, które odbędą się w dniu 28.09.2025 w Sali im. H. Melcera w UMFC ufundowane i prowadzone przez jurorów konkursu.
20. Smyczek fernambukowy – dla najmłodszego polskiego uczestnika konkursu ofiarowany przez anonimowego darczyńcę.
21. Nagroda specjalna – 5 kompletów strun Thomastik-Infeld ufundowana przez Firmę Thomasik-Infeld Wiedeń.
22. Nagrody książkowe, nutowe i płytowe dla laureatów i wyróżnionych konkursu ufundowane przez Fundację SKRZYPCE im. Tadeusza Wrońskiego.
-
Program
I etap
G. Ph. Telemann – jedna z 12 Fantazji na skrzypce solo,
N. Paganini – jeden z 24 Kaprysów op. 1,
H. Wieniawski – jeden z kaprysów L’École moderne op. 10 lub jeden z Kaprysów op. 10, 27 lub 29 K. Lipińskiego,
K. Meyer - Con effetto, skomponowany na VII KonkursII etap
J.S. Bach – Adagio i Fuga z I Sonaty g-moll na skrzypce solo, BWV 1001 lub J.S. Bach – Grave i Fuga z II Sonaty a-moll na skrzypce solo, BWV 1003 lub J.S. Bach – Adagio i Fuga z III Sonaty C-dur na skrzypce solo, BWV 1005 lub J.S. Bach – Ciaccona z II Partity d-moll na skrzypce solo, BWV 1004,
E. Ysaÿe – jedna z 6 Sonat na skrzypce solo op. 27.III etap
B. Bartók – Ciaccona z Sonaty na skrzypce solo
G. Bacewicz – Kaprys Polski
Utwór dowolny napisany na skrzypce soloUroczyste zamknięcie imprezy i koncert laureatów odbędą się w dniu 28.09.2025 o godz. 19.00. w UMFC
-
Harmonogram
22.09.2025 poniedziałek, 19.00
Uroczyste otwarcie Konkursu i Koncert Inauguracyjny w Sali Koncertowej UMFC w Warszawie
W części artystycznej wystąpią:
Jakub Jakowicz – skrzypce
Łukasz Chrzęszczyk – fortepian
W programie: A. Malawski, G. Bacewicz. H.M. Górecki, K. SzymanowskiI ETAP
23.09.2025 wtorek, Sala Koncertowa
Szczegółowy harmonogram przesłuchań 23.09 [.pdf]24.09.2025 środa
Szczegółowy harmonogram przesłuchań 24.09 [.pdf]ETAP II
25.09.2025 czwartek, Sala Koncertowa
Szczegółowy harmonogram przesłuchań 25.09 [.pdf]26.09.2025 piątek
Szczegółowy harmonogram przesłuchań 26.09 [.pdf]
Ogłoszenie wyników II etapu ok. godz. 15.30ETAP III
27.09.2025 sobota, Sala Koncertowa
Godz. 11.00-12.30 Uroczystość wręczenia dyplomu doktora honoris causa Profesorowi Stefanowi Kamasie
Szczegółowy harmonogram przesłuchań 27.09 [.pdf]
Ogłoszenie wyników konkursu ok. godz. 21.0028.09.2025 niedziela / Sunday
Sala Kameralna im. H. Melcera
Lekcje mistrzowskie dla laureatów konkursu - harmonogram[.pdf]Sala Koncertowa
KONCERT LAUREATÓW
19.00/7PM Ceremonia wręczenia nagród i koncert laureatów of the laureatesKonferansjerzy: Róża Oracz, Tomasz Cepiel
-
Regulamin
Fundacja SKRZYPCE im. Tadeusza Wrońskiego oraz Uniwersytet Muzyczny im. Fryderyka Chopina w Warszawie ogłaszają VII Międzynarodowy Konkurs im. Tadeusza Wrońskiego na Skrzypce Solo. Konkurs odbędzie się w dniach 22 – 28 września 2025 w Warszawie.
Regulamin VII Międzynarodowego Konkursu im. Tadeusza Wrońskiego na Skrzypce Solo
I. Konkurs jest otwarty dla skrzypków wszystkich narodowości urodzonych po 1 kwietnia 1990 roku. Dolna granica wieku nie zostaje wprowadzona.
II. Przesłuchania konkursowe odbywać się będą w auli UMFC w Warszawie i będą otwarte dla publiczności.
III. Kolejność występów uczestników ustalona zostanie przed konkursem w drodze losowania i będzie obowiązywać przez cały czas trwania konkursu.
IV. Konkurs jest trzyetapowy.
Do drugiego etapu zostanie dopuszczonych nie więcej niż 20 uczestników.
Do trzeciego etapu zostanie dopuszczonych nie więcej niż 10 uczestników.
V. Organizatorzy przyznają 5 nagród regulaminowych oraz 5 wyróżnień. Całkowita pula nagród oraz wyróżnień to ca.275 tys. zł. Przyznane także zostaną nagrody pozaregulaminowe.
VI. Ostatecznego podziału wszystkich nagród i wyróżnień dokona Jury konkursu, którego decyzje tak w tej, jak i we wszystkich innych kwestiach dotyczących konkursu są niezaskarżalne i ostateczne.
VII. Do konkursu nie mogą przystępować zwycięzcy poprzednich jego edycji.
VIII. Jury konkursu składać się będzie z wybitnych skrzypków i pedagogów gry skrzypcowej z Polski i z zagranicy..
IX. Zdobywcom nagród przysługuje tytuł laureatów Międzynarodowego Konkursu im. Tadeusza Wrońskiego na Skrzypce Solo
X. Laureaci zobowiązani są do nieodpłatnego udziału w uroczystym koncercie laureatów na zakończenie konkursu. Program koncertu ustala jury. Wszelkie przesłuchania i koncert laureatów mogą być transmitowane przez stacje radiowe i telewizyjne, nagrywane, filmowane i fotografowane (według reguł przyjętych na tego typu imprezach), bez jakiejkolwiek odpłatności dla uczestników.
XI. Uczestnicy sami pokrywają koszty podróży oraz zakwaterowania podczas pierwszego etapu. Uczestnicy przechodzący do kolejnych etapów mają zapewniony bezpłatny pobyt w etapie, w którym biorą udział..
XII. Zgłoszenia kandydatów prosimy przesyłać w wersji elektronicznej na adres biura organizacyjnego konkursu wronski.fundacja.skrzypce@gmail.com w terminie do 20 czerwca 2025 roku.
XIII. W dniach 20-22 czerwca odbędzie się preselekcja nagrań dołączonych do zgłoszeń kandydatów. Trzyosobowe jury oceni nagrania kandydatów. Nagrania video winny być przesłane w formie elektronicznej (link) i zawierać dwa dowolne utwory na skrzypce solo w wykonaniu kandydata. Mogą to być kompozycje z repertuaru konkursu. Nagrania nie mogą być poddawane żadnym montażom oraz technicznym obróbką i ulepszeniom. Wszelkie próby ingerowania w plik nagraniowy pozbawią kandydata udziału w konkursie.
W przypadku pytań uprzejmie prosimy o kontakt z biurem konkursu. wronski.fundacja.skrzypce@gmail.com
XIV. Zgłoszenie powinno zawierać:
1. elektroniczny formularz zgłoszeniowy + dokument RODO : z linkiem kierującym do nagranie video
2. kopię dokumentu potwierdzającego datę urodzenia (skan D.O. lub paszportu),
3. fotografię w formie elektronicznej min 300 DPI
4. dowód wpłaty wpisowego w wysokości 600 zł
Uwaga! Dokumenty z punktów 2-4 należy przesłać oddzielnie drogą mailową na adres organizatora wronski.fundacja.skrzypce@gmail.com najlepiej od razu po wysłaniu kwestionariusza elektronicznego.
XV. Organizatorzy poinformują kandydatów o dopuszczeniu do udziału w konkursie do dnia 25 czerwca 2025. Organizatorzy powiadomią również zainteresowane osoby o ewentualnym niedopuszczeniu ich do konkursu z powodów regulaminowych. Zakwalifikowanym uczestnikom przesłany zostanie w formie nutowej pocztą tradycyjną utwór „Con effetto” Krzysztofa Meyera specjalnie skomponowany na VII Konkurs.
XVI. Wpłacone wpisowe nie podlega zwrotowi. Wpisowe należy wpłacać na konto Fundacji SKRZYPCE im. Tadeusza Wrońskiego Bank PKO BP, Oddział 8 Warszawa, nr konta: 41 1020 1013 0000 0502 0170 5631 z dopiskiem „VII Międzynarodowy Konkurs im. Tadeusza Wrońskiego na Skrzypce Solo”.
XVII. Wysłany elektronicznie formularz zgłoszeniowy z RODO jest równoznaczny z zapoznaniem się i zaakceptowaniem z regulaminu przez Kandydata.
XVIII. Językiem oryginału regulaminu jest język polski. W przypadku jakichkolwiek wątpliwości tekst wersji polskiej będzie uznany za wiążący.]
XIX. Uczestnicy zobowiązani są zgłosić się w biurze konkursu mieszczącym się w UMFC w Warszawie, ul. Okólnik 2 najpóźniej w dniu rozpoczęcia Konkursu, tj. 22 września 2025, do godziny 12.
PROGRAM
I etap
1. G. Ph. Telemann – jedna z 12 Fantazji na skrzypce solo*/,
2. N. Paganini – jeden z 24 Kaprysów op. 1,
3. H. Wieniawski – jeden z kaprysów L’École moderne op. 10 lub
K. Lipiński – jeden z kaprysów op. 10, 27 albo 29.
4. K. Meyer – Con effetto, utwór skomponowany na obecny Konkurs.
II etap
1. J.S. Bach – Adagio i Fuga z I Sonaty g-moll na skrzypce solo, BWV 1001 lub
J.S. Bach – Grave i Fuga z II Sonaty a-moll na skrzypce solo, BWV 1003 lub
J.S. Bach – Adagio i Fuga z III Sonaty C-dur na skrzypce solo, BWV 1005 lub
J.S. Bach – Ciaccona z II Partity d-moll na skrzypce solo, BWV 1004,
2. E. Ysaÿe – jedna z 6 Sonat na skrzypce solo op. 27.
III etap**
1. B. Bartók – Ciaccona z Sonaty na skrzypce solo
2. G. Bacewicz – Kaprys Polski
3. Utwór dowolny napisany na skrzypce solo.***/****
UWAGA:
Wszystkie utwory poza Con effetto Krzysztofa Meyera muszą być wykonane z pamięci.
* / polecanym przez organizatora wydaniem 12 Fantazji G. Ph. Telemanna jest wydawnictwo Twoja Muza. Organizator może przesłać nuty tego wydania na życzenie kandydata
**/Całkowity czas występu w trzecim etapie – minimum 20 minut.
***/ utworem dowolnym nie może być utwór wykonywany jako obowiązkowy w pierwszym lub drugim etapie konkursu.
****/ Kandydat może (nie musi) skorzystać z poniższej listy pomocniczej.
Lista pomocnicza ****
1. J.S. Bach – Sonaty I Partity na skrzypce solo
2. G. Ph. Telemann – 12 Fantazji, Twoja Muza Edition
3. E. Ysaÿe – 6 Sonat op.24
4. B. Bartók – Sonata (części poza Tempo di Ciaccona)
5. N. Paganini – 24 Kaprysy
6. J.S. Bach – Toccata, arr. J. Schroder, ed. Faber Music Ltd
7. T. Geminiani – Sonata B Major, arr. M. Corti
8. H. Wieniawski – Kaprysy op. 18, op. 10
9. K. Lipiński – Kaprysy op.10, 27, 29, ed. PWM Polish Music Editions
10. N. Paganini – Theme and Variations „Nel cor piu non mi sento”
11. H.W. Ernst – Etude 6.”The last rose of summer”
12. N. Paganini – 60 Variations of l’air Barucaba
13. F. Kreisler – Recitativo und Scherzo – Caprice op. 6
14. M. Reger – Preludia i Fugi
15. P. Hindemith – Sonata op. 31
16. S. Prokofiev – Sonata op. 115
17. A. Khachaturian – Sonata – Monologue, ed. Sikorski
18. R. Shchedrin – Echo – Sonate, ed. Sikorski
19. I. Yun – Koniglisches Thema, ed. Bote und Bock
20. L. Berio – Sequenza VIII, ed. Universal
21. Y. Xenakis – Mikka, Mikka S, ed. Salabert
22. A. Lasoń – Sonata no. 1, Sonata no. 2, ed. PWM
23. K. Meyer – Sonata, Preludia, ed. PWM
24. N. Milstein – Paganiniana
25. M. Ptaszyńska – Recitativo, Arioso e Toccata, ed. PWM
26. G. Bacewicz – Sonata per Violin Solo, ed. PWM
27. W. Rudziński – Ricercar
28. E. Bogusławski – Preludia and Cadenzas
29. W. Hawel – Sonata per Violino Solo
30. R. Augustyn – Utwór cykliczny, ed. PWM
31. R. Padlewski – Sonata for Violin Solo
32. E. Madey – Ciacconetta
32. R. Kunkel – Promethidion
33. V. Barkauskas – Partita
34. D. Alcheh – Nocturne and Aubade
35.G. Ferrari – Preludio, Ricercare, Capriccio da Improvisazioni
36.A. Schnittke – A Paganini
37. W. Szalonek – Chaconne, Fantazja na skrzypce solo
38. S. Tomasik – La Cadenza op. 3 „Pamięci I. J. Paderewskiego”
39. P. Christoskov – Rhapsody
40. S. Moryto – Aria i chorał (1982)
41. K. Penderecki – Cadenza
41. B. Kowalski – In Affecto
42. I. Zalewski – Przedświt



